Plotting support
Quickly create 2D cartesian, implicit, polar, parametric as well as 3D plots!
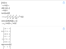
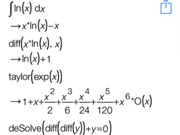
Calculus
Calculate limits, derivatives, integrals and taylor expansions.
Linear Algebra
Invert and multiply matrices or calculate determinants, eigenvalues and much more!
Solving
PocketCAS solves many equations for you, even supporting systems of linear equations and ODEs!
Scripting support
Define your own functions in PocketCAS' C-like scripting language!
PDF export
Print or export plots, entries or the whole document as PDF.
Mathematical keyboard
PocketCAS' mathematical keyboard is unmatched on the App Store.
Plenty of help available
All functions are explained in the built-in reference. If you're stuck, there's plenty of tutorials as well as a manual to get you going.











